NOMBRES COMPLEXES
Nombre complexe, Forme algébrique
Définition et notation
On admet l’existence d’un nombre imaginaire
noté i tel que i2=-1
On
appelle nombre complexe tout nombre de la forme 𝑎 + 𝑖𝑏
𝑜ù 𝑎
∈ ℝ, 𝑏
∈ ℝ
L’ensemble
des nombres complexes est noté ℂ.
Exemple : 2+3i, Ѵ2-6i.
Propriété :
Tout
nombre complexe z s’écrit de façon unique sous la forme 𝑧 = 𝑎 + 𝑖𝑏 ;
La forme 𝑎 + 𝑖𝑏 est appelée forme algébrique du nombre
complexe.
·
Le
nombre réel 𝑎 est appelé la partie réelle du
complexe,
On note : 𝑎
= ℛ𝑒(𝑧).
·
Le
nombre réel 𝑏 est appelé la partie imaginaire du
complexe,
On note : 𝑏
= ℐ𝑚(𝑧).
Exemples :
• 𝑧 = 3 − 2𝑖
est un nombre complexe de partie réelle 3 et de partie imaginaire −2.
• 𝑧 = 5𝑖
est un nombre complexe de partie réelle 0 et de partie imaginaire 5 ,
Remarque :
-Un
nombre complexe dont la partie réelle est nulle est un nombre complexe
imaginaire pur. L’ensemble des nombres complexes imaginaires purs est
l’ensemble noté 𝑖ℝ.
Exemple : 𝑧
= 5𝑖 est un complexe imaginaire pur.
-Un
nombre complexe dont la partie imaginaire est nulle est un nombre réel.
On a: ℝ ⊂ ℂ 𝑒𝑡
𝑖ℝ
⊂ ℂ.
Le
seul nombre complexe à la fois réel et imaginaire pur est le nombre nul 0.
Egalite :
Deux nombres complexes z et z’ sont égaux si et
seulement si :
-ils
ont la même partie réelle
-ils
ont la même partie imaginaire
z=a+ib
z’=a’+ib’
z=z’ => a=a’ et
b=b.
Operations
dans ℂ
Soient
𝑧 = 𝑎 + 𝑖𝑏 𝑒𝑡 𝑧
′ = 𝑎 ′ + 𝑖𝑏′ deux nombres complexes donnés.
• 𝑧 + 𝑧
′ = (𝑎 + 𝑎 ′
) + 𝑖(𝑏
+ 𝑏 ′ ) ;
•
𝑧 × 𝑧 ′ = (𝑎𝑎 ′ − 𝑏𝑏 ′
) + 𝑖(𝑎𝑏 ′ + 𝑎 ′𝑏).
•
Pour tout nombre complexe non nul, (𝑎; 𝑏)
≠ (0; 0) et 1
•
Soient 𝑧 𝑒𝑡 𝑧′
deux nombres complexes tels que 𝑧 ≠ 0

Exemples: Soient deux complexes
z=2+3i et z’=4-i
·
z+z’=(2+3i) +(4-i)=(2+4) +(3i-i)=6 +2i
·
zxz’=(2+3i)( 4-i)=8-2i+12i-3i2=8-2i+12i+3=11+10i.
·
.
Oppose d’un nombre complexe
Définition
Soit un nombre complexe 𝑧
tel que 𝑧 = 𝑎 + 𝑖𝑏 𝑜ù 𝑎
∈ ℝ, 𝑏
∈ ℝ
.
Le
nombre complexe opposé de z est le nombre complexe noté -𝑧 tel que :
-z = -𝑎 − 𝑖𝑏.
Exemples :
·
z=1+i =>
-z=-1-i
·
z=5-3i =>
-z=5+3i
Conjugué d’un nombre complexe
Définition
Soit un nombre complexe 𝑧
tel que 𝑧 = 𝑎 + 𝑖𝑏 𝑜ù 𝑎
∈ ℝ, 𝑏
∈ ℝ
.
Le
nombre complexe conjugué de z est le nombre complexe noté 𝑧̅ tel que :
Exemples :
·
z=1+i =>
𝑧̅=1-i
·
z=5-3i => 𝑧̅=5+3i
Propriétés
Pour tout nombre complexe z,
z+ 𝑧̅ = 2ℛ𝑒(𝑧).
z- 𝑧̅ = 2i ℐ𝑚(𝑧)..
z x 𝑧̅ = ℛ𝑒(𝑧)2 + ℐ𝑚(𝑧)2
Pour tout nombre complexe z,
x ∈ ℝ
<= > 𝑧̅ =z
x ∈ iℝ <= > 𝑧̅ = -z
z étant un nombre complexe
de forme algébrique a +ib,
z+ 𝑧̅ =2a
z- 𝑧̅ =2b
z x 𝑧̅ = a2 +b2
Exemple : écrivons la forme
conjuguée de ![]()

Module d’un nombre complexe
Définition
Le module du nombre complexe
𝑧 = 𝑎
+ 𝑖𝑏 est le nombre réel
positif noté |𝑧| tel que :
![]()
![]()
Exemple :
.
Propriétés
Soit (𝑧; 𝑧 ′
) ∈ ℂ × ℂ,
𝑛 ∈ ℕ
:
(i).
Si 𝑧 = 𝑎, 𝑎
∈ 𝐼𝑅 𝑎𝑙𝑜𝑟𝑠 |𝑧|
= |𝑎|.
(ii).
Si 𝑧 = 𝑖𝑏 , 𝑏 ∈
𝐼𝑅 𝑎𝑙𝑜𝑟𝑠 |𝑧|
= |𝑏|.
(iii).
|𝑧 | = |−𝑧|
= |𝑧|; |𝑧
× 𝑧′| = |𝑧|.|𝑧′|; |𝑧 𝑛| = |𝑧|
𝑛 .
(iv). Pour 𝑧
≠ 0, | 𝑧′ 𝑧 | = |𝑧′|
|𝑧|.
;
(v).
|𝑧 + 𝑧′| ≤ |𝑧|
+ |𝑧′| (inégalité triangulaire).
(vi).
|𝑧| 2 = 𝑧
× 𝑧 = (ℛ𝑒(𝑧))
2 + (ℐ𝑚(𝑧))
2
Représentation géométrique d’un
nombre complexe
Le plan est muni d’un repère orthonormé direct
(𝑂; 𝑢⃗ , 𝑣⃗ ) ; on l’appelle aussi plan complexe.
➢ A tout nombre complexe 𝑧
= a + 𝑖b on associe le point 𝑀(a; b)
du plan.

Réciproquement
à tout point 𝐴(𝑎; 𝑏)
du plan on associe le nombre complexe 𝑧0 = 𝑎
+ 𝑖𝑏. On établit ainsi une
bijection entre ℂ 𝑒𝑡 𝒫
(plan). Le nombre complexe 𝑧 = a
+ 𝑖b est appelé affixe du point 𝑀. On note 𝑧𝑀.
Le
point 𝑀(a; b)
est le point image du nombre complexe 𝑧 = a
+ 𝑖b . On note M(z) .
➢ On associe également à chaque vecteur 𝑤⃗ (𝑎; 𝑏)
du plan le nombre complexe 𝑧 = 𝑎
+ 𝑖𝑏 appelé affixe du
vecteur 𝑤⃗ .
On
note 𝑧𝑤⃗= 𝑎
+ 𝑏𝑖. Le vecteur 𝑤⃗ (𝑎; 𝑏)
est le vecteur image du nombre complexe 𝑎 + 𝑖𝑏.
• (𝑂, 𝑢⃗ ) est appelé l’axe réel
;
• (𝑂, 𝑣⃗ ) est l’axe imaginaire.
Nombre complexe, Forme trigonométrique
Le
plan complexe est muni du repère orthonormé direct (𝑂; 𝑢⃗ , 𝑣⃗ ).
Argument d’un nombre complexe non nul
Définition
Dans
le plan complexe muni d’un repère orthonormé direct (𝑂; 𝑢⃗ , 𝑣⃗ ), soit 𝑧
∈ ℂ ∗
d’image M.
Un argument du nombre complexe z est une
mesure en radian de l’angle orienté (⃗𝑢 ̂;𝑂𝑀⃗)
.

Remarques
:
- Un nombre complexe non nul possède une
infinité d'arguments de la forme arg(z) + 2kπ, k ∈
ℤ.
On
note :
arg(z)
modulo 2π ou arg(z) [2π].
-Tout nombre complexe non nul 𝑧
admet un unique argument appartenant à l’intervalle] −𝜋; 𝜋] appelé argument
principal et noté 𝐴𝑟𝑔(𝑧).
![]()


Propriétés
Soient (𝑧; 𝑧
′ ) ∈ ℂ
∗ × ℂ ∗ , 𝑛 ∈
ℕ :
o arg ( 1/ 𝑧 ) = arg(𝑧
) = − arg(𝑧) + 2𝑘𝜋, 𝑘
∈ ℤ
o arg(𝑧
× 𝑧 ′ ) =
arg(𝑧) + arg(𝑧
′ ) + 2𝑘𝜋, 𝑘
∈ ℤ
o arg(𝑧
𝑛) = 𝑛.
𝑎𝑟𝑔(𝑧)
+ 2𝑘𝜋, 𝑘
∈ ℤ
o arg ( 𝑧′/ 𝑧 ) = arg(𝑧
′ ) − arg(𝑧) + 2𝑘𝜋, 𝑘 ∈
ℤ.
Exemple :
Soit
z= 3 + 3i. Alors |z| =
3√2


arg (z) = π/4 [2π]
.

Forme trigonométrique d’un nombre complexe
Définition
Soit
𝑧 = 𝑎 + 𝑖𝑏 un nombre complexe non nul ;
𝑟 = |𝑧|
𝑒𝑡 𝜃
un argument de z.
z s’écrit de façon unique sous la forme :
𝑧 = 𝑟(cos𝜃 + 𝑖 sin𝜃).
Cette
écriture est appelée la forme trigonométrique du nombre complexe z.
Exemple :
Détermine
la forme trigonométrique du nombre complexe 𝒛 = −√𝟑
+ 𝒊.
|𝒛| = 𝟐
;
Soit
𝜑 un argument de 𝑧,
cos(𝜑) = −√3/ 2
sin(𝜑) = 1 /2 on en déduit qu’un argument de
z est 5𝜋/ 6
La
forme trigonométrique de 𝑧 est :
𝑧 = 2(cos( 5𝜋
/6 ) + 𝑖 sin(
5𝜋/ 6 )).
Remarques
:
➢
Pour déterminer la forme trigonométrique d’un nombre complexe on calcule
d’abord le module de 𝑧 puis un argument de 𝑧.
➢
La forme trigonométrique d’un complexe est bien indiquée pour déterminer les
produits, les quotients ou les puissances d’un nombre complexe.
Forme exponentielle d’un nombre complexe non nul.
Définition
Soit
𝑧 un nombre complexe non nul de module 𝑟
et d’argument 𝜽 .
On
appelle forme exponentielle de 𝑧 l’écriture :
𝑧 = 𝑟𝑒 𝑖𝜽
Exemple :
2 + 2𝑖 = 2√2𝑒
𝑖 𝜋/ 4 ;
4𝑖 = 4𝑒
𝑖 𝜋/ 2 ;
5
= 5𝑒 𝑖0.
Propriété
Soient 𝑧 = 𝑟𝒆 𝒊𝜽 𝑒𝑡 𝑧 ′ = 𝑟′𝒆
𝒊𝝋 deux nombres complexes
non nuls.
(i)
𝑧
′ = 𝑧 ⇔ 𝑟 ′ = 𝑟 et 𝜑 = 𝜃 + 2𝑘𝜋, 𝑘 ∈ ℤ
(ii) 𝑧 = 𝑟𝒆 −𝒊𝜃 ; 𝟏/ 𝒛 = (𝟏 /𝒓 ) 𝒆 −𝒊𝜽 .
(iii) 𝑧 ′ × 𝑧 = 𝑟𝑟 ′𝑒 𝑖(𝜃+𝜑) .
(iv) Pour tout 𝑛 ∈ ℕ, 𝑧 𝑛 = 𝑟 𝑛𝒆 𝒊𝒏𝜽 .
(v) 𝑧′ /𝑧 = 𝑟′ /𝑟 𝒆 𝒊(𝝋−𝜽)
Remarque :
Ø
Soit
z un nombre complexe de module r et d’argument θ alors on peut aussi
écrire :
z=[r,θ]
Ainsi,
soient z=[r.θ] et z’=[r’,θ’]
·
z.z’=[r.r’,θ+θ’]
·
z/z’=[r/r’,θ-θ’]
·
zn=[rn,nθ]
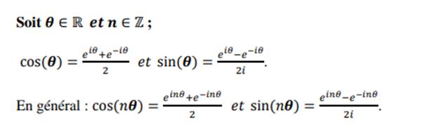
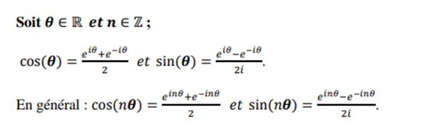
Nombres complexes et trigonométrie
Formule de MOIVRE
Soit
𝜃 ∈ ℝ
𝒆𝒕 pour tout 𝑛
∈ ℤ
.
On
a :
(cos𝜃 + 𝑖 sin𝜃) 𝑛 = cos(𝑛𝜃) + 𝑖 sin(𝑛𝜃).
On
appelle cette propriété la formule de Moivre.
Formules d’EULER

Applications :


Rappels :
-Binôme de Newton : utile
pour déterminer les coefficients binomiaux (exemple
ci-dessus :1,-3,3,-1)

![]()
-Triangle de Pascal : utile pour déterminer
les coefficients binomiaux

Resolution d’équations dans ℂ
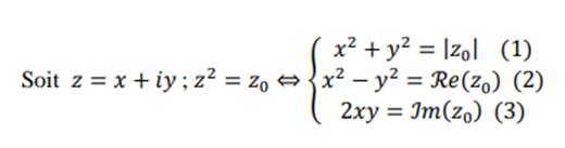
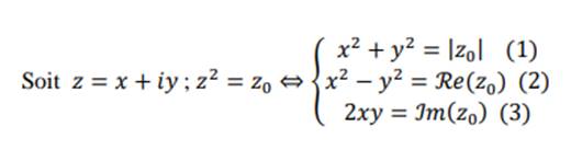
Racines carrées d’un nombre complexe.
Définition
Soit un nombre complexe 𝑧0, on appelle racine carrée du complexe, 𝑧0 tout nombre complexe z tel que :
𝑧 2 = 𝑧0
Méthode :
Soit
un nombre complexe z=x+iy
On
développe ; z2=( x+iy)2=x2+y2 -2ixy
Par
identification, on a :

Exemple : Déterminons les
racines carrées de :Ѵ3+i
Il
suffit de déterminer un complexe z tel que z2= Ѵ3+i
On a : 
On
résout le système et on trouve :
=> 

Racine n-ième
d’un nombre complexe.
Définition
Soit
un nombre complexe z0 ≠ 0
𝑒𝑡 𝑛
∈ ℕ 𝒂𝒗𝒆𝒄 𝒏
≥ 𝟐 .
On
appelle racine n-ième de tout nombre complexe 𝑧
tel que :
𝑧 𝑛
= z0
Propriété
1
Soit z0
= 𝑅𝑒 𝑖𝜃 ; les racines n-ième
de z0 sont :
![]()
𝑛 𝑎𝑣𝑒𝑐 𝑘 ∈ {0; 1; … ;
n-1}.
Propriété
2
Les racines n-ième
d’un nombre complexe sont les affixes des sommets d’un polygone régulier de n
côtés inscrit dans un cercle de rayon
.
Exemple :
calculons
les racines cubiques de l’unité
Il
s’agit de trouver z tel que z3=1
Posons
z=cosθ +isinθ
Z3=
cos3θ +isin3θ
z3=1 <= > cos3θ +isin3θ=cos0 +isin0 => ![]()
cos3θ=cos0
<= >![]()
![]()
Donc:
![]()
![]()
![]()
Equations du second degré.
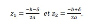
Propriété
Soit 𝑎, 𝑏
𝑒𝑡 𝑐
sont des nombres complexes avec 𝑎 ≠ 0. Soit ∆=
𝑏 2 − 4𝑎𝑐. Si 𝛿 est une racine carrée
de Δ, alors les solutions de l’équation 𝑎𝑧 2 + 𝑏𝑧 + 𝑐 = 0 sont :
Méthode :
-On
calcule le discriminant Δ
-on
détermine les racines carrées de Δ suivant que Δ est réel ou non
-on
calcule les solutions.
Exemple : soit a résoudre dans C l’équation z2+(2+3i)z-2(1-2i)=0
Δ=b2-4ac=(2+3i)2-4(1)(2(1-2i))=3-4i
Cherchons
les racines carrées de 3-4i

On
trouve les deux racines carrées du discriminant : (2-i) et –(2-i)


EXERCICES
EXERCICE
I :
Ecrire sous la forme algébrique les nombres complexes suivants :
a) z1=(1+3i)-(2+i)
b) z2=(Ѵ3 +2iѴ2i)-(3+iѴ2)
c) z3=(Ѵ3 +2iѴ2)(3+iѴ2)
d) z4=(1+3i)/(2+i)
EXERCICE
II:
1.
Ecrire sous la forme algébrique les nombres complexes suivants :
a) z1=(8i-1)/(2-3i)
b) z2=2i-5/i
c) z3=(1+i)2/(2-i)2
d)
z4=(4-i)/(2+3i)-i/(3+i)
2.
On donne les nombres complexes z1 et z2 tels que :
z1=(5-i)/(3+2i)
et z2=(5+i)/(3-2i)
Calculer : z1+z2 ;
z1-z2
et conclure.
EXERCICE
III:
1.Calculer
les modules et les arguments des nombres complexes suivants :
a) z1=1+i
b) z2=Ѵ3 +i
c) z3=1/3 +iѴ3/3
2.En
déduire l’ecriture sous forme trigonométrique de z1, z2
et z3
EXERCICE
IV:
1.Calculer
les modules et les arguments des nombres complexes suivants :
a) z1=(Ѵ6 -iѴ2)/2
b) z2=1- i
c) z3=z1/z2
2.Deduire
les valeurs exactes de cosπ/12 et sinπ/12
EXERCICE
V :
On donne les nombres complexes suivants :
z1=-1-i
z2=1/2
+iѴ3/2
1.Ecrire
z1/z2 sous forme
algébrique.
2.Ecrire
z1/z2 sous forme
trigonométrique.
3.Deduire
de la question précédente les valeurs de cos11π/12 et sin11π/12.
EXERCICE
VI
1.
Calculer les racines carrées de
i, 3 − 4 i.
2.
Résoudre les équations : z 2 + z − 1 = 0,
et z2+z+(1-i)/4.
3.
Résoudre l’équation
z 2 + (i−
Ѵ2)z − i Ѵ2 = 0,
puis l’équation Z 4
+ (i− Ѵ 2)Z 2 − i Ѵ2 = 0.
4.
Montrer que si P(z) = z 2 + bz + c possède
pour racines z1 , z2 ∈ C alors z1 + z2
= −b et z1 · z2 = c.
5.Trouver
les paires de nombres dont la somme vaut i et le produit 1.
EXERCICE VII :
1.
Mettre les nombres suivants sont la forme exponentielle : 1 + i, Ѵ3 − i, 1/ (Ѵ 3−i) , ( Ѵ3 − i) 2028.
2.
Calculer les racines 5-ième de i.
3.
Calculer les racines carrées de
Ѵ3 /2 + i /2 de deux façons différentes.
En déduire les valeurs de cos π /12 et
sin π /12 .
4.
-Développer cos(4θ) ;
-linéariser cos5 θ ;
EXERCICE VIII :
Le
plan complexe est muni d’un repère orthonormé direct (O ;⃗𝑢 ,⃗𝑣 ). Dans
chaque cas, détermine et construis l’ensemble des points M d’affixe z vérifiant
la condition donnée :
a)
|𝑧 − 2𝑖| = 3
b)
|𝑧 − 1 + 𝑖| = |𝑧 + 1 + 3𝑖|.
c)
|2𝑖𝑧 −
3 + 2𝑖| = |𝑧 − 2|.
d)
arg(𝑧 −
1 − 𝑖) ≡
𝜋 6 [2𝜋]
CORRIGES
EXERCICE I : Ecrire sous la forme
algébrique les nombres complexes suivants :
a)z1=(1+3i)-(2+i)=1-2+3i-i=-1+2i
b)z2=(Ѵ3 +2Ѵ2i)-(3+Ѵ2i)= Ѵ3 -3+2Ѵ2i-Ѵ2i = Ѵ3 -3+Ѵ2i
c)z3=(Ѵ3 +2iѴ2)(3+iѴ2)=3 Ѵ3+ Ѵ6i+6 Ѵ2i+4i2=(3
Ѵ3 -4)+i(Ѵ6+6 Ѵ2). // on fait i2=-1.
d)z4=(1+3i)/(2+i)= =(1+3i)(2-i)/(2+i)(2-i)=2+6i-i-3i2/4+2i-2i-i2=5+5i/4-i2=1+i //on multiple
le numérateur et le dénominateur
par expression conjuguée du dénominateur
EXERCICE II:
1. Ecrire sous la forme algébrique les nombres complexes
suivants :
a)z1=(8i-1)/(2-3i)= (8i-1) (2+3i)=/(2-3i) (2+3i)=(16i+24i2-2-3i)/(4-6i+6i-9i2=-26+13i/13=-2+i
b)z2=2i-5/i=(2i-5)i/i2=2+5i
c)z3=(1+i)2/(2-i)2==(1+i)
(1+i)/(2-i) (2-i)=2i/3-4i=2i(3+4i)/(3-4i)(3+4i)=-8/25+6i/25
d)z4=(4-i)/(2+3i)-i/(3+i)= (4-i)(2-3i)/(2+3i)(2-3i)-i(3-i)/(3+i)(3-i)=5-14i/13
–(1+3i)/10=37/130-179i/130
2. On donne les nombres complexes z1 et z2
tels que : z1=(5-i)/(3+2i) et z2=(5+i)/(3-2i)
z1+z2 =(5-i)/(3+2i)+ (5+i)/(3-2i)=2
z1-z2=(5-i)/(3+2i)-
(5+i)/(3-2i)=-2i
et z2 est le conjugue de z1.
EXERCICE III:
1.Calculer les modules et les arguments des nombres complexes
suivants :
a)z1=1+i=>|1+i |=(12+12)1/2=21/2=Ѵ2 //le
nombre Ѵa peut aussi s’écrire a1/2


=>θ=π/4
b)z2=Ѵ3 +i
=>| Ѵ3 +i |=(Ѵ32+12)1/2=41/2=2


=>θ=π/6
c)z3=1/3 +iѴ3/3=>|1/3 +iѴ3/3
|=(1/32+Ѵ3/32)1/2=4/91/2=2/3


=>θ=π/3
2.En déduire l’ecriture sous forme trigonométrique de z1,
z2 et z3
a) |z1|= Ѵ2 et θ=π/4 => z1=Ѵ2(cosπ/4 +isinπ/4)
b) |z2|= 2 et θ=π/6 =>
z2=2(cosπ/6 +isinπ/6)
c) |z3|= 2/3 et θ=π/3 =>
z2=2/3(cosπ/3 +isinπ/3)
EXERCICE IV:
1.Calculer les modules et les arguments des nombres complexes
suivants :
a) z1=(Ѵ6 -iѴ2)/2
|z1|=( Ѵ6/22+
Ѵ2/22)1/2= Ѵ2
cosθ=(Ѵ6/2)/Ѵ2=Ѵ3/2
sinθ=(-Ѵ2/2)/Ѵ2=-1/2=>θ=-π/6
=>z1=[Ѵ2,-π/6]
b) z2=1- i
z2=Ѵ2(1/Ѵ2
-i/Ѵ2)=[Ѵ2,-π/4]
c)z3=z1/z2
z3=z1/z2=[Ѵ2,-π/6]/ [Ѵ2,-π/4]=[1,π/12] // car [r,θ] /[r’,θ’]=[r/r’, θ- θ’]
2.Deduire les valeurs exactes de cosπ/12 et sinπ/12
Sous forme algébrique :

Sous forme trigonométrique :
z3=[1,π/12]= cosπ/12 +i sinπ/12

Par identification,


EXERCICE V : On donne les nombres
complexes suivants :
Z1= -1-i
Z2=1/2 +iѴ3/2
1.Sous forme algébrique.
z1/z2
=(-1-i)/( 1/2 +iѴ3/2)=-2(1+i)/(1+iѴ3)=(-1-Ѵ3)/2 +(-1+Ѵ3)i/2

2. Sous forme trigonométrique.


)
3.Deduire de la question précédente les valeurs de cos11π/12 et
sin11π/12.
Par identification
)= 

EXERCICE VI
1.
· Racines carrées de −i, 
=>
· Racines
carrées de 3 − 4 i.
=>
2-i et
= -(2-i)
·
z 2 + z − 1 = 0,
Δ=(1)2-4(1)(-1)=5 // le discriminant donne un réel
z1=(-1-Ѵ5)/2
z2=(-1+Ѵ5)/2
·
z2+z+(1-i)/4
Δ = i // le discriminant donne un réel, il faut
déterminer les racines carrées 𝛿
et -
𝛿



3. Résoudre l’équation :
·
z 2 + (i− Ѵ2)z −
i Ѵ2 = 0,
Δ=(i− Ѵ2)2-4(1)(-iѴ2)=1+2Ѵ2i // le discriminant
donne un réel, il faut déterminer les racines carrées 𝛿 et - 𝛿
=>
=Ѵ2 +i et
= -Ѵ2-i


Résoudre l’équation :
·
Z 4 + (i− Ѵ 2)Z 2 − i Ѵ2 = 0.
On pose :Z=z2 on retrouve
la première équation
Z12=
-i =>1/Ѵ2 -1/Ѵ2i et -1/Ѵ2 +1/Ѵ2i
Z22= Ѵ2 =>- ѴѴ2 et +ѴѴ2
4. Montrer que si P(z) = z 2 + bz
+ c possède pour racines z1 , z2
∈ C alors z1 + z2 = −b et z1 ·
z2 = c.
Δ=b2-4ac=b2-4c
z1=(-b-ѴΔ)/2
et z2=(-b+ѴΔ)/2
z1+z2=(-b-ѴΔ)/2 +(-b+ѴΔ)/2=-2b/2= -b
z1.z2=(-b-ѴΔ)/2
x (-b+ѴΔ)/2= c
//en règle générale, lorsqu’une équation
de la forme ax2+bx +c=0 admet deux racines x1 et x2,
la somme des racines S=x1+x2 = -b/a et le produit P=x1.x2=c/a.
On
a donc ax2-Sx +P=0 (ici a=1.)
5.Trouver les paires de nombres dont la somme vaut i et le produit
1.
S=b=i
et P=c=1 => ax2-Sx +P=0 <= > ax2-ix +1=0
Δ=b2-4c=i2-4(1)=-5=5i2 =(iѴ5)2
z1=(-i-iѴ5)/2
z2=(-i+iѴ5)/2
EXERCICE VII :
1. Mettre les nombres suivants sont la forme exponentielle :
1 + i, Ѵ3 − i, 1/( Ѵ 3−i
), ( Ѵ3
− i) 2024.
·

· 
·
eiπ/6
· 
2. Calculer les racines 5-ième de i.
z5=i
soit
z=r(cosθ+isinθ) =>z5=r5(cos5θ
+sin5θ)
i=cosπ/2 +isinπ/2
r5(cos5θ +sin5θ)= cosπ/2 +isinπ/2
=>r=1 et cos5θ= cosπ/2
sin5θ= sinπ/2
5θ=π/2
+2kπ =>θ=π/10 +2kπ/5, k ∈ Z
zk=cos( π/10 +2kπ/5)+ isin (π/10 +2kπ/5),
k ∈ Z
3. Calculer les racines carrées de Ѵ3 /2 + i /2 de deux façons
différentes. En déduire les valeurs de cos π /12 et sin π /12 .
1ere Methode:


Ѵz=( eiπ/6)1/2= eiπ/12= cos π /12 +isin π /12
2eme Methode:
| Ѵ3 /2 + i /2|=1
z2= Ѵ3 /2 + i /2
=>
(x+y)2-2xy=1
=(x+y)2=1+1/2=3/2=>x+y=
(x-y)(x+y)=Ѵ3/2
< =>(x-y)
=Ѵ3/2 =>x-y=
+![]()

+
=> cos π /12=
+![]()
sin π /12=


4.
Ø cos4θ+isinθ=(cosθ+sinθ)n
= cos4θ+4cos3θ(isinθ)+6cos2θ(isinθ)2+4cosθ(isinθ)3+(isinθ)4
= cos4θ+4cos3θ(isinθ)-6cos2θsin2θ-icosθsin3θ+sin4θ
= cos4θ-6cos2θsin2θ
+sin4θ+4i(cos3θsinθ-
cosθsin3θ)
=> cos4θ= cos4θ-6cos2θsin2θ
+sin4θ
=1-8cos2θsin2θ
=1+8cos2θ+8cos4θ
Ø cosθ=1/2(eiθ+eiθ)
cos5θ=1/25(eiθ+eiθ)5
=1/25(ei5θ+ 5ei4θ e-iθ+ 10ei3θ e-i2θ+ 10ei2θ e-i3θ+ 5eiθ e-i4θ+ e-i5θ)
= 1/25[(ei5θ+ e-i5θ)+5(ei3θ+ e-i3θ)+10(eiθ+ e-iθ)
=1/24(cos5θ +5cos3θ+10cosθ)
EXERCICE VIII :
a) |𝑧 − 2𝑖| = 3
L'équation complexe |z – 2i| = 3 représente un ensemble de
points M du plan complexe.
Interprétation géométrique :
- z est l’affixe du point M.
- 2i est l’affixe du point A (donc A est à l’origine translatée
vers le haut de 2 unités).
- L'équation signifie que la distance entre M et A est constante
et vaut 3
b) |𝑧 −
1 + 𝑖| = |𝑧 + 1 + 3𝑖|.
L’équation |z – 1 + i| = |z + 1 + 3i| représente un lieu
géométrique.
1. Écriture :
Soit z = x + iy, alors on remplace :
|z – 1 + i| = |z + 1 + 3i|
⇔ |x + iy – 1 + i| = |x + iy + 1 +
3i|
⇔ |(x – 1) + i(y + 1)|
= |(x + 1) + i(y + 3)|
2. Modules :
√[(x – 1)² + (y + 1)²] = √[(x + 1)² + (y + 3)²]
On élève les deux membres au carré :
(x – 1)² + (y
+ 1)² = (x + 1)² + (y + 3)²
Développement :
- (x – 1)² = x² – 2x + 1
- (y + 1)² = y² + 2y + 1
- (x + 1)² = x² + 2x + 1
- (y + 3)² = y² + 6y + 9
Donc :
x² – 2x + 1
+ y² + 2y + 1 = x² + 2x + 1 + y² + 6y + 9
Simplification :
- x² et y² se simplifient
- Il reste :
–2x + 2y + 2 = 2x + 6y + 10
Regroupons :
–4x – 4y = 8
⇔ x + y =
–2
Résultat :
L’ensemble des points M d’affixe z vérifiant |z – 1 + i| = |z +
1 + 3i| est la droite d'équation x + y = –2
c) |2𝑖𝑧 −
3 + 2𝑖| = |𝑧 − 2|.
On cherche l’ensemble des points M d’affixe z = x + iy vérifiant :
|2i·z – 3 + 2i| = |z – 2|
Étape 1 : Écriture en forme algébrique
Soit z = x + iy, alors :
- 2i·z = 2i(x + iy) = 2i·x – 2·y = –2y + 2ix
- Donc
2i·z – 3 + 2i = –2y – 3 + 2ix + 2i = –2y – 3 + 2i(x +
1)
Donc le module devient :
|2i·z – 3 + 2i| = |–2y – 3 + 2i(x + 1)| = √[(–2y – 3)² + (2x + 2)²]
Et |z – 2| = |(x – 2) + iy| = √[(x – 2)² + y²]
Étape 2 : Égalité des modules
On a :
√[(–2y – 3)² + (2x + 2)²] = √[(x – 2)² + y²]
On élève les deux membres au carré :
(–2y – 3)² + (2x + 2)²
= (x – 2)² + y²
Développons chaque côté :
Gauche :
- (–2y – 3)² = 4y² + 12y + 9
- (2x + 2)² = 4x² + 8x + 4
→ Gauche = 4x² + 8x + 4 + 4y² + 12y + 9 = 4x² + 4y² + 8x +
12y + 13
Droite :
- (x – 2)² = x² – 4x + 4
- y²
→ Droite = x² – 4x + 4 + y² = x² + y² – 4x + 4
Étape 3 : Mettre tout à gauche
(4x² + 4y² + 8x + 12y + 13) – (x² + y² – 4x + 4) = 0
→ 3x² + 3y² + 12x + 12y + 9 = 0
On peut simplifier par 3 :
→ x² + y² + 4x + 4y + 3 = 0
Résultat : lieu géométrique
On regroupe :
- x² + 4x + y² + 4y = –3
On complète les carrés :
- x² + 4x = (x + 2)² – 4
- y² + 4y = (y + 2)² – 4
Donc :
(x + 2)² + (y
+ 2)² – 8 = –3 → (x + 2)²
+ (y + 2)² = 5
d) arg(𝑧 − 1 − 𝑖) ≡ 𝜋/ 6 [2𝜋]
On cherche
l’ensemble des points M d’affixe z tels que :
arg(z − 1 − i) ≡
π/6 [2π]
Interprétation
géométrique :
- Cela signifie
que le vecteur OM′, avec M′ d’affixe z − (1 + i), forme un
angle π/6 avec l’axe réel positif.
- Donc, M est un
point tel que le vecteur (z − 1 − i) a un argument égal à π/6
modulo 2π.
Autrement dit, z
– (1 + i) est un vecteur de direction π/6.
Conclusion (lieu
géométrique) :
L’ensemble des
points M d’affixe z est une demi-droite :
- d’origine A(1, 1) (car on a z – 1 – i),
- de direction
faisant un angle de π/6 avec l’axe des abscisses, soit pente tan(π/6)
= 1/√3.
On peut aussi
l’écrire sous forme paramétrique :
z = 1 + i + r·e^{iπ/6} avec r ∈ ℝ⁺*.
Donc, le lieu est
la demi-droite partant de A(1, 1) dans la direction
π/6
Merci de votre visite
Laissez un commentaire