Soitaun entier naturel quelconque et n un entier non nul
On pose:

anse lit «a puissance n» ou «a exposant n»
andésigne le produit de facteurs égaux au nombre a.
Exemple: 35=3x3x3x3x3
35se lit«3 puissance 5»
NB: a2se lit «a au carré»
&a3se lit «a au cube»
Propriétés:
· Tout nombre a non nul élevé à la puissance 0 est 1: a0=1
· a, b, m et n sont des entiers naturels:
![]()
Exemple:45x42=45+2=47
![]()
Exemple:43x23=(4x2)3=83

· Si a>0alors an>0
· Si a<0 alorset

Exemples:
(2)3=2x2x2=8>0
(-2)3=-2x-2x-2=-8<0
(-2)4=-2x-2x-2x-2=+16>0
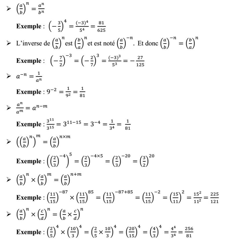
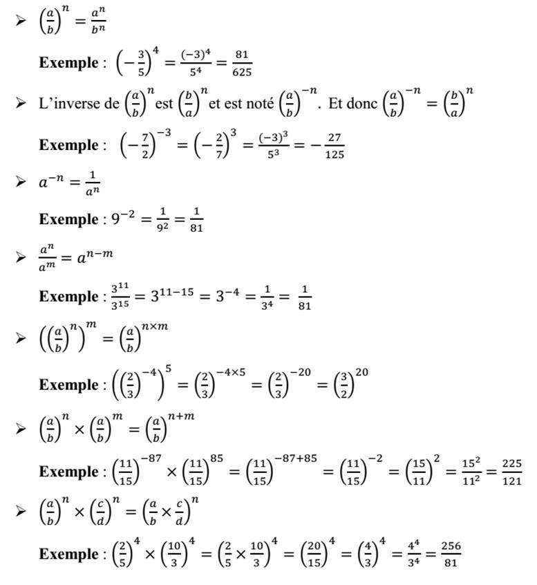
Soienta, b, m et n quatre nombres entiers naturels non nuls. Pour calculer une puissance d’un nombre rationnel d’exposant entier relatif, on utilise les propriétés suivantes :

L’écriture scientifique d’un nombre décimal est son écriture sous la forme ax10n où a est un nombre décimal ayant un seul chiffre (différent de zéro) avant la virgule.
Exemples:
Sont des notations scientifiques
· 2,34.105
· 1,45,10-3
Ne sont pas des notations scientifiques.
· 456,8.104
· 0,33.10-8
Remarque:
· Lorsqu’on déplace la virgule vers la droite, l’exposant diminue.
Exemple:
Le nombre 2,34534 peut aussi s’écrire:
2,34534x100
=23,4534x10-1
=234,534x10-2
=2345,34x10-3
· Lorsqu’on déplace la virgule vers la gauche, l’exposant augmente.
Exemple:
2345,34x10-3
=234,534x10-2
=23,4534x10-1
=2,34534x10-0
EXERCICE I:
1. Mettre sous la forme an les expressions suivantes:
A=5x5x5x5x5x5
B=6x6x6x7x7x7x7
C=74x75x76
D=55x45
E=![]()
2. Donne la valeur de: 56 et de 64
EXERCICE II:
a-Quel est le signe de chacun des nombres suivants:
(-2)3; (-3,6)4; (-4)5; (-5,4)6; (-6)13.
b- Calculer
(+2)4; (+0,5)2; (-10)3;(-5)4; (-0,9)1.
c- Ecrire sous la forme an , ou a est un nombre relatif et n un entier naturel.

EXERCICE III:
Effectuer les opérations suivantes et donner les résultats sous la forme irréductible.


![]()
1, Compléter
a) 20000=2x10….
b) 0,0002=2x10…
c) 3878,7=3,8787x10…= 38787x10… =388787000x10…
d) 9,3x10-5=….x10-3=….x10-1=…x100
2.Quelle est la notation scientifique:
a) -0,000000345
b) 5345x10-5
1- Compléter:
a) 489676=……..x103
b) -0,00004563x103= -45,63x10….
Dire si ces nombres sont en notation scientifique
2-Ecrire en notation scientifique:
a)204
b)0,5175
c)213102
d)534500000x10-5
e)0,0000000345x10-5
Merci de votre visite
Laissez un commentaire