Expérience aléatoire:
Une expérience (lancé un dé par exemple) est aléatoire lorsqu’elle a plusieurs résultats ou issues et que l’on ne peut pas prévoir, à priori, quel résultat se produira.
Exemples :
- On lance une pièce de monnaie et on regarde la face supérieure.
- On lance un dé à six faces et on regarde le nombre de points inscrits sur la face du dessus.
- On fait tourner une roue marquée sur ses secteurs de couleurs différentes et on regarde le secteur marqué par la flèche.
Univers:
Soit E une expérience aléatoire donnant un nombre fini de résultats possibles, l’ensemble des résultats possibles est appelé univers. On le note:U ou Ω.
Eventualités:
Les éléments de l’univers Ω sont appelés éventualités.
Événement:
On appelle évènement les sous-ensembles de l’univers Ω
-L’événement formé d’un seul élément est appelé événement élémentaire.
-L’ensemble vide est l’événement impossible.
-Lorsque c’est tout l’ensemble Ω, l’événement est certain.
Exemples:
Expérience aléatoire: lancer d’un dé de 6 faces.
Eventualités:1 ou 4 par exemple //résultats possibles
Univers: Ω ={1,2,3,4,5,6}.
//ensemble des résultats possibles de l’expérience.
Un évènement A: ‘’obtenir le chiffre 4’’
Un évènement B: ‘’obtenir le chiffre 6’’
Ω étant l’univers des éventualités d’une expérience aléatoire, A et B des évènements de Ω
-l’évènement (A ou B) est la partie AUB //obtenir 4 ou 6
-l’évènement (A et B) est la partie A⋂B //obtenir 4 et 6
-
l’évènement contraire de A est la partie
-On dit que l’évènement A et l’évènement B sont incompatibles lorsque l’évènement (A et B) est impossible
c.-à-d. A⋂B= ∅.
Soit Ω l’univers des événements d’une expérience aléatoire, on dit que l’on a défini une probabilité p sur Ω lorsque , a tout événement A de Ω, on peut associer un nombre réel appelé probabilité de A noté p(A) vérifiant les conditions suivantes:
-0≤p(A)≤1
- p(Ω )=1 et p(∅. )=0;
-La probabilité d’un événement est égale à la somme des probabilités des événements élémentaires qui le constituent.
Ainsi, si A={ x1 ,x2,…, xn }

Propriétés
Soit p une probabilité sur l’univers Ω , A et B deux événements de Ω. Alors:
-P(AUB)=P(A)+p(B) - P(A⋂ B),
-Si A et B sont incompatibles si et seulement si A⋂ B=ø alors P(A⋂ B)=0 et P(AUB) = P(A)+P(B).
-A
et son événement contraire
forment une partition
de Ω donc p(Ω)=p(A) + p(
) soit P(
) =1- P(A).
Résumons:

Exemple : On considère l’expérience aléatoire suivante : On tire une carte dans un jeu de 32 cartes à jouer. On considère les événements suivants :
A : « On tire un valet » P(A)=1/8
B : « On tire un roi » P(B) = 1/ 8
Les deux évènements A et B sont incompatibles, en effet A ∩ B = ∅.
On en déduit que la probabilité de l’évènement « Tirer un valet ou un roi » est égale à :
P(A∪B) = P(A)+P(B) =1/8 + 1 /8 = 1/4
Soit p une probabilité définie sur l’univers Ω des éventualités d’une expérience aléatoire, on dit qu’il y a équiprobabilité, si tous les évènements élémentaires de U ont la même probabilité.
Dans ce cas, pour tout évènement A de Ω



La[H1] fonction de répartition de la variable aléatoire X est la fonction
F:IR→IR
X→p(X<x)
· On appelle espérance mathématique d’une variable aléatoire X, le réel E(X) défini par:

· On appelle variance d’une variable aléatoire Xi, le réel V(X) défini par:

d’une
variable aléatoire X est la racine carrée de la variance

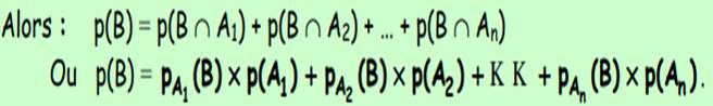
p désigne une probabilité sur un univers fini Ω. A et B étant deux évènements de Ω, B étant de probabilité non nulle. On appelle probabilité conditionnelle de l’évènement A sachant que B est réalisé le réel noté:

Le réel p(A/B) se note aussi pB(A) et se lit aussi’’ probabilité de A sachant B’’.
Remarque : Si A et B sont tous deux de probabilité non nulle, alors les probabilités conditionnelles p(A/B) et p(B/A) sont toutes les deux définies et on a :
p(A ∩ B) = p(A/B) ×p(B)
= p(B/A) × p(A).
Deux événements A et B de probabilité non nulle sont indépendants si et seulement
p( A ∩ B) = p(A)p(B).
Remarque:
Si p(A)≠0 et p(B)≠0, alors A et B sont indépendants lorsque pB(A)=p(A) ou bien pA(B)=p(B)

![]()

Merci de votre visite
Laissez un commentaire