Equation du type sinx=α
Si α ϵ [-1,1], alors il existe un réel β tel que sinβ=α
D’où:
Exemple1: sinx=-Ѵ2/2
sinx=-Ѵ2/2 <=> sinx=sin5π/4 =>

Exemple 2: sin(x+π)=sin(π/3-2x)
=>

=>

Exemple 3: sinx=-Ѵ2/2 dans [0,2π]
Il faut en plus que 0<x<2π donc que 0<5π/4 +2kπ<2π
0<5π/4 +2kπ<2π
-5π/4 < +2kπ<2π -5π/4=3π/4
-(5/4 )/2<k<3/4)/2=
-0,625<k<0,375
k peut prendre la valeur 0
k=0 x=5π/4 +2(0)π= 5π/4
x=-π/4 +2(0)π=-π/4
S[0,2π] ={ -π/4, 5π/4 }
Equation du type cosx=α
Si α ϵ [-1,1], alors il existe un réel β tel que cosβ=α
D’où:
Exemple1: cosx=1/2
cosx=1/2 <=> cosx=cosπ/3 =>
SIR={![]()
Exemple 2: cos(2x-π/2)=cos(3x+π) <=> ou avec kϵZ
=>
=>

Exemple 3: cosx=1/2dans [0,2π]
Il faut en plus que 0<x<2π donc que 0<π/3 +2kπ<2π
0<π/3 +2kπ<2π
0 -π/3 < +2kπ<2π -π/3=5π/3
(-1/3 )/2<k<(5/3)/2
-0,167<k<1,67
k peut prendre la valeur 0 ,1
k=0 x= π/3 +2(0)π= π/3
x= -π/3 +2(0)π= -π/3 ou 5π/3
k=1 x= π/3 +2(1)π= 7π/3 ou π/3
x=- π/3 +2(1)π= 5π/3
S[0,2π] ={ π/3 , 5π/3 }
Equation du type sinx=cosa
sinx=cosa <=> sinx=sin (π/2-a) et cosa=cos(π/2-a)
Or sin (π/2-a)=cosa
cos(π/2-x)=sinx
<=> sinx=cosa


Equation du type tanx=α
Si α ϵIR, il existe un réel β tel que tanβ=α
![]()

Exemple: tan(x-π/6) =tan(π/4)
x-π/6=π/4 + kπ=> x=5π/12 +kπ, kϵZ
SIR ={5π/12 +kπ, kϵZ]
Équation du type acosx + bsinx-c=0

Exemple: Résoudre cosx +Ѵ3 sinx=-Ѵ2
![]()
=> l’équation admet
des solutions réelles,



=-![]()


=>
=>
avec kϵZ
SIR={
}
kϵZ
INEQUATIONS TRIGONOMETRIQUES
Inéquation du type sinx <b, sinx ≥b :
Exemple 1: sinx ≤ 1/2
sinx=1/2 < =>sinx=sinπ/6
=>
=>
1ere méthode: utiliser le cercle trigonométrique
On place sur le cercle trigonométrique les images de ces solutions.
Les points dont les images ont pour abscisses sont les points appartenant à l’arc orienté en rouge sur la figure ci-dessous,
donc
si
En tournant toujours dans le sens mathématique positif et en notant les solutions sur le premier tour de cercle, nous lisons sur le graphique :

· Dans l’intervalle] -π,π] =>
S] -π,π] = ]- π,π/6] U [5π/6, π]
· Dans l’intervalle [0,2π[ =>
S] 0,2π] =[0,π/6] U [5π/6,2π[
2eme méthode: utiliser une fonction
On étudie la courbe f(x)=sinx-1/2 alors f(x)≤0
|
x |
0 Π 5π/6 2π |
|
f(x) |
- 0 + 0 - |
f(π/3)=sin(π/3) -1/2=Ѵ3/2 -1 ≥0 or π/3 ϵ [ π/6,5π/6]
S[ 0,2π[ =[0,π/6] U [5π/6, 2π[
Inéquation du type cosx < a, cosx ≥ a
Exemple: cosx ≤ -Ѵ2/2
cosx=cos3π/4 <=
>
On place sur le cercle trigonométrique les images de ces solutions.

Les points dont les images ont pour abscisses les points appartenant à l’arc orienté MM’, donc si

L’ensemble des solutions est donc la réunion de tous les intervalles de la forme

où k est un entier relatif.
Inéquation du type tan<a, tanx ≥ b
Exemple: tan(3x+π/2)>Ѵ3
tan(3x+π/2)=Ѵ3 =tanπ/3 < =>(3x+π/2)= π/3 +kπ
< =>(3x) = π/3-π/2 +kπ
=>x=-π/18 +kπ/3
D’après le graphique:

SIR=]-π/18 +kπ/3,0[
EXERCICE I:
1. Résoudre:
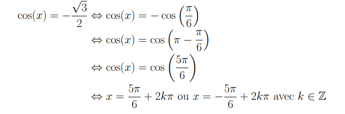
a. cosx = -Ѵ3/2
b.Ѵ3cosx-3sinx = 3
2.On considère un nombre réel x de l’intervalle [0,π/2] tel que sinx=1/4
a- Déterminer la valeur exacte de cosx
b-Déterminer avec la calculatrice en mode radian, une valeur approchée de x au millième près.
c- Vérifier à l’aide de la calculatrice la valeur obtenue en a.
3.Utiliser le cercle trigonométrique ci-dessous pour déterminer l’ensemble des solutions des équations:
a. cosx=-1/2 dans [0,π]
b. sinx=-
/2 dans[-π/2,π/2]
c. 1-cos3x=0 dans [-π,π]

EXERCICE II: Résoudre dans l’intervalle I les inéquations suivantes:
1.2sinx-Ѵ3 ≥ 0 I= IR
2.cos(x-π/3) ≥ Ѵ3/2 I= IR
3. sinx ≥ 1/2 I= ] -π, π] ; I= ] 0,2π]; I= IR
4. sin2x ≤ 1/2 I= ] -π, π] ; I= ] 0,2π]; I= IR
5. cosx ≤ Ѵ2/2 I= ] -π, π] ; I= ] 0,2π]
EXERCICE III:
1. Développer cos(x+y) + cos(x-y)
2.Resoudre dans IR le système:

EXERCICE IV:
1.a) calculer (Ѵ2 +1)2
b) résoudre dans [0,2π] l’équation: 2cos2x + (Ѵ2 -1)cosx-Ѵ2/2=0
2. résoudre dans [0,2π] l’inéquation: 2cos2x + (Ѵ2 -1)cosx-Ѵ2/2≥0
Merci de votre visite
Laissez un commentaire