CORRIGES
EXERCICE I:
1.a.

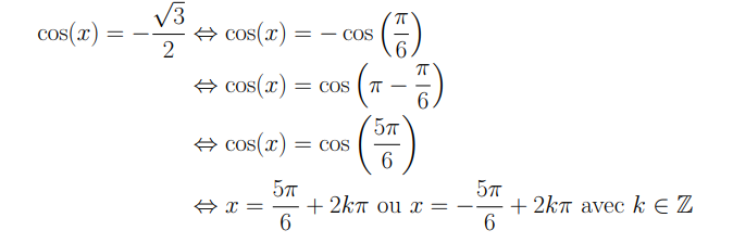
b. Ѵ3cosx-3sinx=3
=2Ѵ3
=> l’équation
admet des solutions réelles,



=![]()


=>
avec kϵZ
{
}
kϵZ
// Ѵ3cosx-3sinx=3 <=> cosx-Ѵ3sinx=Ѵ3
<=> cosx-tanπ/3sinx=Ѵ3
<=>cosπ/3 cosx-sinπ/3sinx=Ѵ3
<=> cos(x+π/3)=Ѵ3/2
<=> cos(x+π/3)=cosπ/6
2.a-

3.Utiliser le cercle trigonométrique ci-dessous pour déterminer l’ensemble des solutions des équations:
a. cosx=-1/2 dans [0,π]
b. sinx=-
/2 dans[-π/2,π/2]
c. 1-cos3x=0 dans [-π,π]
3.a-

b-

c-


EXERCICE II:
1. 2sinx-Ѵ3≥0
2sinx-Ѵ3=0
<= >sinx=Ѵ3/2=sinπ/3 =>
kϵZ
D’après le graphique:

S=[π/3
,2π/3
kϵZ
2. cos(x-π/3) ≥Ѵ3/2
cos(x-π/3)=Ѵ3/2=cosπ/6
=> 
S=[π/6
,π/2
kϵZ
]
3. sinx≥1/2
sinx=1/2
< =>sinx=sinπ/6 =>
=>
Dans l’intervalle] -π, π]


-
![]()
k peut prendre le valeurs 0
k=0 ![]()
![]()
S] -π,π] = [π/6,5π/6]
Dans l’intervalle] 0,2π]



![]()
k peut prendre le valeurs 0
k=0 x = ![]()
x=![]()
L’arc qui va de π/6 a 5π/6 comprend tous les points solution de cette inéquation.
S[0,2π] =[ π/6,5π/6]
Dans IR
L’ensemble des solutions dans IR est la
réunion des intervalles de la forme [
,
]
4. sin2x ≤ 1/2
sin2x=sin(π/6)
<=>
kϵZ
<=>
kϵZ
Dans l’intervalle] -π,π]



![]()
k peut prendre la valeur 0
k=0 x=-![]()
![]()
S] -π,π] = ]- π,π/12] U [5π/12, π]
Dans l’intervalle] 0,2π]



![]()
k peut prendre la valeur 0
k=0 x =
![]()
x=![]()
S] 0,2π] =[0,π/12] U [5π/12,2π[
Dans IR
L’ensemble des solutions dans IR
est la réunion des intervalles de la forme]
,
5. cosx ≤Ѵ2/2
Dans l’intervalle] -π, π] =>S] -π,π] =]-π,-π/4]U[π/4,π]
Dans l’intervalle [0,2π[ =>S[ 0,2π[ =[π/4,7π/4]
EXERCICE III:
1.
cos(x+y) + cos(x-y) =cosxcosy-sinxsiny+cosxcosy+sinxsiny=2 cosxcosy
2.resoudre dans IR le système:



=> 




EXERCICE IV:
1.a) calcul de (Ѵ2 +1)2
(Ѵ2 +1)(Ѵ2 +1)=3+2Ѵ2
b) Equation: 2cos2x + (Ѵ2 -1)cosx-Ѵ2/2=0 dans [0,2π]
posons X=cosx
L’équation devient: X2+(Ѵ2 -1)X- Ѵ2/2=0
Δ=(Ѵ2 -1)2-4(2)(- Ѵ2/2)=3+2Ѵ2=(Ѵ2 +1)2


·

Dans [0,2π]



-0,375<k<0.625
k=0
=>x=
Dans [0,2π]



0,375<k<1,3
K=1
·

Dans [0,2π]



-0,16<k<0,83
k=0 =>
Dans [0,2π]



0,16<k<1,16
k=1 =>
S[0.2π]
=
2. résoudre dans [0,2π] l’inéquation: 2cos2x + (Ѵ2 -1)cosx-Ѵ2/2 ≥0
Soit f(x)= : 2cos2x + (Ѵ2 -1)cosx-Ѵ2/2 ≥0
|
x |
0 π/3 3π/4 5π/4 5π/3 2π |
||||
|
cosx-1/2 |
+ |
- |
- |
- |
+ |
|
cosx+Ѵ2/2 |
+ |
+ |
- |
+ |
+ |
|
f(x) |
+ |
- |
+ |
- |
+ |
f(3π/4)=cos(3π/4)-1/2=- Ѵ2/2 -1/2 <0
f(π/3)=cos(π/3)+ Ѵ2/2 =1/2+ Ѵ2/2 >0
S[0,2π] =[0, π/3] U [ 3π/4, 5π/4] U [ 5π/3,2π[