Considérons un
mobile S de petites dimensions lancée avec une vitesse initiale
formant un angle α avec
l’horizontale.

Dans le
référentiel de laboratoire, la position du centre d’inertie est étudiée dans le
repère
défini tel que l’origine O
coïncide avec la position du centre d’inertie du projectile a l’instant de
lancement et l’axe vertical
est orientée positivement vers le haut.
• On
considère que le champ de pesanteur
est uniforme,
• On néglige la poussée d’Archimède et les frottements par rapport au poids du système.
La chute étant libre, l’accélération du projectile est l’accélération de la pesanteur.
D’après le TCI ,
![]()
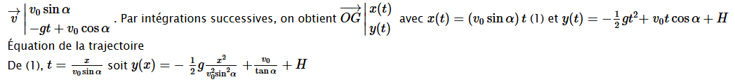
Ses composants dans le repère choisi sont :

Le vecteur vitesse initiale étant contenu dans le plan vertical (xOy), ses composants sont :

Les composants du vecteur position du centre d’inertie obtenus par intégration sont :

x, y et z sont les équations horaires du projectile.
L’ordonnée y du projectile est une parabole. Puisque z=0 le mouvement se déroule dans le plan de tir (Oxy)

2.Equation de la trajectoire
On élimine t dans les équations horaires.
L’équation horaire x = (ν0 cosα)t conduit à :
![]()
En remplaçant t par cette expression dans l’équation horaire de y, il vient que :
![]()
L’équation horaire de la trajectoire est donc :
![]()
Il s’agit d’une parabole, dans le champ de tir, incurvée vers le bas.
C’est la distance entre le sommet de la trajectoire et l’axe des abscisses. Le sommet est atteint lorsque vy (ts )=0 et ceci est vrai à la date ts = ν0sinα/g . En introduisant cette expression de ts dans y(t), il vient :

La flèche de la trajectoire, hauteur maximale atteinte, s’écrit :

La portée est l’abscisse xp du point P, dont l’ordonnée yp est nulle. C’est le point du sol sur lequel arrive le projectile après sa chute.
Ceci conduit à résoudre l’équation y = 0, soit :
![]()
− En factorisant par x on montre qu’il existe deux solutions :
• la solution x = 0 qui correspond au point de lancer O,
• l’autre solution qui est donc xp et qui vérifie :
![]()
Elle s’écrit ainsi :

La portée de la trajectoire s’exprime sous la forme :

Pour une vitesse initiale de tir donnée, deux angles permettent d’atteindre la même portée horizontale : α et π/2 -α. La trajectoire la plus basse correspond au tir tendu, celle la plus haute au tir en cloche.
EXERCICE I
Lors d’un coup franc, un ballon de football est lancé avec une vitesse initiale formant un angle de 50° avec le sol. Il parcourt une distance de 20m avant de rebondir de nouveau. Calculer :
1.La vitesse initiale du ballon
2.La durée du coup franc
3.La hauteur maximale atteinte par le ballon.
EXERCICE II :
On négligera l’action de l’air. On prendra g=10m/s2.
Lors d’un match de basket, pour marquer un panier, il faut que le ballon passe dans un cercle métallique situé dans le plan horizontal, à 3,05 m du sol horizontal. Pour simplifier, on remplacera le ballon par un point matériel devant passer exactement au centre C du cercle métallique. xOy est un plan vertical contenant le point C ; xOz est un plan du sol supposé horizontal.
D’un point A de Oy situé à 2,00 m du sol, un basketteur, sans adversaire, lance le ballon, avec une vitesse V0 contenu dans le plan xOy. Sa direction fait un angle α=45° avec le plan horizontal.
Quelles sont les coordonnées du vecteur vitesse à chaque instant t ?
EXERCICE III :
On se propose d’étudier un « coup franc » direct en football en faisant les hypothèses simplificatrices suivantes :
-Le ballon est un solide ponctuel ;
-L’influence de l’air est négligeable ;
-Le champ de pesanteur est uniforme et a une intensité g=9,8ms-2.
Le ballon est posé en O sur le plan horizontal, face au but AB de hauteur h=2,44m et à une distance d=25m
de celui-ci.
Le joueur, tirant le coup franc, communique au ballon une vitesse initiale V0 dans le plan (O,i,j), incliné par rapport à l’horizontale d’un angle α=30°.
EXERCICE IV:
Situation
problème :
Dans votre ville, se jouent les qualifications pour le championnat national de
lancer de poids.
Pour garantir
l'équité, les organisateurs installent un ordinateur qui permet de modéliser le
mouvement du projectile de chaque participant (document 1 let de détecter la
hauteur de lancement H. Le document 2 présente la performance du candidat de
votre quartier.
Pour se qualifier, Il faut que la distance entre O (origine du repère) et le
point d'impact A soit supérieure à 15 m.
Les qualifications doivent se jouer lorsque le temps est beau, le projectile
est alors en chute libre.
Le projectile est supposé ponctuel.
En utilisant les informations ci-dessus.
1. Vérifie si le temps est favorable pour tenir cette compétition.
2. Prononce-toi sur la qualification du représentant de votre quartier. (Baccalauréat
C 2021)
EXERCICE V :
Situation problème :
Pour mettre une fusée sur orbite, une organisation a besoin d'un « propulseur » délivrant une force de poussée →F verticale, constante durant le décollage, d’intensité F=16×106N. Ce dispositif est commandé auprès d'un groupe d'ingénieurs qui réalisent le test suivant avant la livraison éventuelle.
Test :
Partant du repos, un corps (s) de masse M = 850 tonnes est propulsé à partir
d'un point O et suivant un axe (Oz) vertical, orienté vers le haut.
Ils constatent que le corps (s) atteint le point A
d'altitude H=1015,14 m après 15 secondes.
Au point A, un dispositif approprié arrête le fonctionnement du propulseur ; le
corps (s) continue son mouvement dans le champ de pesanteur.
Pour éviter un choc entre le corps (s) dans sa chute et les grutiers chargés de
la manutention,
BITOLOK, le responsable de la sécurité voudrait évaluer le temps d’attente
(compté à partir de l'instant de lancement (s)) avant tout passage par le point
O, mais n'y arrive pas.
Hypothèses :
Le centre d'inertie de (s) est initialement confondu avec O ;
On néglige la résistance de l'air.
Données :
Intensité du champ de pesanteur constante : g=9,80m.s−2;
Vitesse de (s) au point A: vA=135,35m.s−1.
Information : dans les calculs, on considère la grue comme un point matériel au
sol.
En utilisant les informations ci-dessus et à l'aide d'une démarche scientifique
:
1. Évalue si le test est concluant ou non.
2. Aide BITOLOK à atteindre son objectif. (BACCALAUREAT D 2025
extrait)
Merci de votre visite
Laissez un commentaire