CORRIGES
EXERCICE I
1.
La portée horizontale est 20m
d=xp=v20sin2α/g =>
![]()
2.
d=v0sinαt=>t=d/v0sinα=20/14sin50=1,86s.
3.La hauteur maximale atteinte par le ballon.
h=v20sin2α/2g=142xsin2x50/2x9,8=9,85m.
EXERCICE II :
1.
Un système mécanique est dit pseudo-isole lorsque les forces extérieures qui s’y exercent se compensent exactement’
Une fois lance, le ballon est soumis à l’action de son poids. Il ne constitue pas un système isole.
2.
Le TCI nous donne :
![]()
![]()
d’où les coordonnées de
![]()
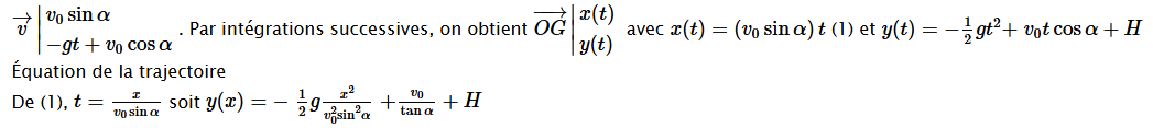
Les coordonnées du vecteur position sont :
![]()
3.Elle s’obtient en éliminant t dans les expressions de x et de y.
![]()
![]()
![]()
1. Le panier est réussi si le point C(7,10 ; 3,05) appartient à la trajectoire, d’où :
![]()


![]()
5.Calcul de y lorsque x=0,90 m
2,80m>2,70m donc le panier ne sera pas marque.
EXERCICE III :
1.
L’étude du ballon est faite dans le référentiel du laboratoire suppose galiléen, la résistance de l’air étant négligeable, la balle n’est soumise qu’a son poids.
Le TCI s’exprime par la relation :
Les composantes des vecteurs dans le repère défini sont :
Vecteur accélération :
![]()
Vecteur vitesse :
![]()
Vecteur position :
![]()
Le vecteur position ne possède que deux composantes, le mouvement du centre d’inertie ne s’effectue que dans le plan(O,x.y)
2.
En supprimant le temps des équations x et y on a :

C’est l’équation de la trajectoire.
3.
L’abscisse xE du point d’entrée du ballon dans les buts est :
xE=d=25m.
en tenant compte des dimensions du ballon, l’ordonnée du point E est :
yE=h-2r=2,14m.
en introduisant ces coordonnées dans l’équation de la trajectoire
on a

=>![]()
4.
Ce temps correspond a la course du ballon
EXERCICE IV :
Vérification si le temps est
favorable.
Il s'agit de vérifier si le temps est favorable en examinant si le projectile
est en chute libre.
Pour cela nous allons :
• supposer que le projectile est en chute libre, puis exploiter le document l
pour donner la nature du mouvement suivant les deux axes ;
• Exploiter le document 2 pour déterminer la valeur de
l'accélération aG du mouvement lors du concours ;
• La comparer à la valeur de l'accélération dans le cas d'une chute libre et
conclure.
Supposons que le projectile
est en chute libre.
1.1 Détermination de la nature du mouvement du projectile.
Le document (l) montre que la trajectoire du projectile est un arc de parabole
contenu dans le plan du tir.
Le mouvement du projectile est :
• Uniforme suivant l'axe (0;→i);
• uniformément varie suivant l'axe (0;→j) .
1.2. Détermination de la valeur de l'accélération du mouvement.
![]()
1.3. Comparaison:
Accélération du mouvement : aG=9,81 m/s2 alors que
g=9,80m/s2.
La différence entre aG et g est négligeable ; on
peut donc écrire aG=g
Conclusion : Comme aG=g, le projectile est en chute libre, donc
le temps est favorable pour tenir cette compétition.
2. Examen d'une éventuelle
qualification du représentant du quartier.
Il s'agit de déterminer la distance OA afin de se prononcer sur la
qualification du candidat.
Pour cela :
• Établir les équations horaires du mouvement ;
• Déterminer l'abscisse X = 0A du point d'impact A du projectile avec le sol
horizontal ;
• Comparer au minimum requis et conclure.
2.1 Détermination des équations libraires du mouvement
Dans le référentiel terrestre supposé galiléen, le projectile est soumis
uniquement à l’action de son poids →P

2.2 Détermination de l'abscisse X du point d’impact A avec le sol horizontal
Valeur de la vitesse initiale v0

On trouvera après résolution X
= 0A = 11,8 m
2.3 Comparaison:
Pour une qualification. Xmin=15
On constate que OA≺Xmin
Conclusion : Comme la distance 0A ne répond pas aux conditions requises, le
représentant du quartier ne s‘est pas qualifié.