Soit f, une fonction numérique définie sur I, un intervalle et x0est
un réel
I. On dit
que f est dérivable sur I si:

existe et est finie.
Cette limite est appelée le nombre dérivé de f en x0. On le note: f’(x0).
Exemple:
f(x)=
=
=


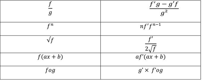
Soient f et g deux fonctions dérivables sur un intervalle I de et k un nombre réel non nul.


Exemple:


. Lorsque la dérivée seconde s'annule en un point
d'abscisse x0 en changeant de signe, alors
le point d'abscisse x0 est appelé « point d’inflexion ».
Au point d'inflexion, la courbe traverse la tangente et change de
concavité
· Soient une fonction f, (C) sa courbe représentative et A un point de (C) d’abscisse x0. Si f est dérivable en x0, alors(C) admet en A une tangente (T) dont le coefficient directeur est f’(x0).
La tangente (T) en x0 a pour équation:
y= f’(x0)(x-x0) + f(x0)
Exemple: f(x)=x2 +2 et x0=3
f’(x) =2x
f’(3=2(3)=6
f(3)=(3)2 +2 =11
L’équation de la tangente en 3 est: y=6(x-3) + 11=6x+29=> y=6x +29
· Si f’(x0)=0, alors (C) admet au point abscisse x0 une tangente parallèle à l’axe des abscisses (horizontale) d’équation y =f(x0).

Soit la fonction
dérivable sur I, un intervalle donné et Cf sa courbe représentative
dans un repère orthonormé (O,
)
On dit que (Cf) admet un extrémum au point A(x0,f(x0)) si f’(x0)=0 et pendant l’étude du signe de la dérivée , on observe un changement de signe.
Si f croit et décroit ensuite, on a un maximum en M0. Il correspond à la plus grande ordonnée .la courbe admet une tangente horizontale en M0.

Si f décroit et croit ensuite, on a un minimum. Il correspond à la plus petite ordonnée. La courbe admet une tangente horizontale en M0.


EXERCICE I: : Dans chacun des cas suivants, étudier les variations de la fonction puis préciser ses extremums.
1. ![]()
2. 
3. f(x)=
4. 
5. ![]()
EXERCICE II:

EXERCICE III:

Merci de votre visite
Laissez un commentaire