.
On
appelle circuit électrique une succession continue d’éléments conducteurs ou
peut circuler un courant électrique.
Les éléments :
Pour
réaliser un circuit électrique, on a besoin d’un certain nombre
d’éléments :
-
Des fils
conducteurs dont le rôle est de conduire le courant électrique.
-
D’un
interrupteur qui permet d’ouvrir ou de fermer le circuit.
-
D’une
lampe qui joue le rôle de récepteur.
-
Des
connections qui permettent de relier les éléments du circuit.
-
D’une pile
qui produit le courant électrique. On l’appelle aussi générateur. Une pile
possède deux bornes différentes : Une borne positive (+) et une borne
négative (-). Les générateurs qui produisent le courant de même type sont des
générateurs de courant continu exemple : pile solaire, batterie.

Représentation
d’un circuit électrique.
Pour
schématiser un circuit électrique, on utilise les symboles normalisés des
éléments.
Exemple :
schéma normalisé du circuit électrique simple d’une lampe :

Sens du courant électrique.
Par
convention, le sens du courant électrique dans un circuit en courant continu
est celui pour lequel il sort du
générateur par sa borne positive (+) et y entre par sa borne négative (-).
Ce sens se matérialise par une flèche dans le circuit (voir figure ci-dessus).
Un
circuit est dit en série lorsque chaque appareil est branché sur l’entrée du
suivant. Dans un tel circuit, la mise hors circuit accidentelle (panne) d’un
récepteur (exemple la lampe) ou volontaire empêche le fonctionnement des autres
car le circuit est ouvert, le courant ne le traverse plus.
Exemple : Circuit de trois lampes en série.

Un
circuit est dit en dérivation lorsque, le courant issu du générateur se partage
pour alimenter les récepteurs. Dans un tel circuit la mise hors service d’une
lampe n’empêche pas le fonctionnement des autres. C’est ce genre de circuit que
l’on réalise dans les installations domestiques (maisons).
Exemple : Circuit de deux lampes en dérivation.

L’intensité
du courant électrique est une grandeur physique qui caractérise la quantité
d’électricité qui traverse une portion du circuit à un instant donné.
Un courant constant transporte une
quantité d’électricité Q proportionnelle à la durée t de ce courant ; son
intensité a pour mesure le quotient constant :
I=Q/t
Q : quantité d’électricité en
coulomb (C );
t :temps en seconde (s) ;
I : intensité du courant en ampère
(A).
L’intensité
du courant se mesure à l’aide d’un appareil appelé l’ampèremètre qui se monte
toujours en série sur la portion du circuit donnée. L’unité de l’intensité
du courant est l’ampère de symbole A.

Considérons le
montage ci-dessous :
Les valeurs indiquées par l’ampèremètre montre que I = I1 = I2

Dans un montage en série, l’intensité du
courant est la même dans toutes les branches du circuit.
Considérons le
montage ci-dessous :
Au nœud A, on a I = I1
+ I2

Dans
un montage en parallèle, l’intensité du courant débité par le générateur est la
somme des intensités de courant qui circule dans chaque branche, c’est la loi
des nœuds qui s’énonce tel que :
Loi des nœuds : dans
un montage en dérivation, l’intensité du courant principal fourni par le
générateur est égale à la somme des intensités des courants dérivés.
Lorsque
deux points d’un circuit se trouvent dans des états électriques différents, il
existe entre ces deux points une grandeur physique mesurable appelé différence
de potentiel (ddp) ou encore tension électrique.
U=VA-VB
La
tension électrique se mesure à l’aide d’un appareil appelé voltmètre qui
se monte toujours en parallèle entre les points ou l’on veut mesurer la ddp. L’unité de la tension est le volt (V).

Considérons le
circuit ci-dessous
U =U1 + U2

Loi d’additivité des
tensions : Dans un montage en série, la tension aux
bornes du générateur est sensiblement égale à la somme des tensions qui existe
aux bords des différents éléments du circuit.
Considérons le
circuit :
L’expérience montre que U = U1= U2

Dans un montage en dérivation, la
tension aux bornes du générateur est sensiblement égale à la tension aux bornes
de chaque récepteur.
Remarque :
Les
appareils de mesures utilisés sont parfois polarisés (+, -) ou (rouge, noir).
Lors de leur utilisation, relié la borne (+) ou rouge à celle positive du
générateur et la borne (-) ou noir à la borne négative du générateur.
EXERCICE
I :
Un
courant constant I=2 A traversé un circuit électrique pendant t =1 h.
1.Calculer la
quantité d’électricité transportée par ce courant.
2.Quel nombre
d’électrons n traverse toutes les sections du circuit pendant ce temps.
La charge de
l’électron : |q|=e=1,6.10-19 C
EXERCICE II : Considérons le montage
ci-dessous :

On peut lire sur les ampèremètres I = 2,5 A,
et I2 = 0,75A,
1. Calculer
l’intensité I1
2. Calculer la quantité
d’électricité transportée par le courant principal en 5 mn.
EXERCICE III : Considérons le circuit ci-dessous

Soit le schéma ci-dessus, on lit sur
les voltmètres U = 15V et U1
= 8V,
1. Calculer U2,
2. Le générateur délivre un courant I=2 A. Quel courant traverse les deux
lampes ?
EXERCICE IV :
Sur une source de tension, on lit « 230 V ; 2 A ».
Elle alimente deux lampes identiques L1 et L2.
1/ Que signifient ces indications ?
2/ Quelle est la tension aux bornes de L2 ?
3/quelle est la tension aux bornes de L2 ?
4/ quelle est l’intensité du courant qui traverse L1 ?

EXERCICE V :
Situation-problème
:
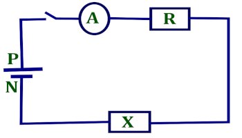
Dans le laboratoire du lycée
de PIMS, l’enseignant responsable a retrouvé un résistor X. La valeur de la
résistance de ce résistor obtenue à l’aide du code de couleur est 7,3
Ω. La charge de vérifier expérimentalement cette valeur a été confiée à
deux groupes d’élèves.
Expérience réalisée par le groupe1 :
Matériel utilisé : générateur (E,r),
ampèremètre (A), résistor de résistance R, résistance inconnue (X),
interrupteur.
Montage réalise :

Données : E=9V, r=1Ω; R=9Ω; X inconnue
Résultat obtenue
Intensité du courant dans le circuit : I=0,52A
Expérience réalisée par le groupe 2 :
matériel utilisé : générateur (E1,r1),
ampèremètre (A,), résistor de résistance R1 résistance
inconnue (X), interrupteur, thermomètre, chronomètre, calorimètre.
Montage réalisée :

Données : valeur en eau du calorimètre
: μ=18g, masse d’eau introduite dans le calorimètre
: m=100 g ; chaleur massique de l’eau : Ce=4180J/kg.°C.
autre information : Q=(μ+m)CeΔθ.
Résultat obtenue
Intensité du courant dans le circuit : I=0,52 A
Élévation de température Δθ=50 C après 20 min 48s.
Après ces expériences, les élèves n’arrivent pas à exploiter ces résultats.
1. En exploitant les informations de la première expérience et à l’aide d’une
démarche scientifique, examine s’il y’a accord entre les résultats du premier
groupe et la valeur donnée
Par le code de couleur
2. En exploitant les résultats de la deuxième expérience et à l’aide d’une
démarche scientifique, prononce-toi sur la valeur de la résistance donnée par
le code de couleur.
Merci de votre visite
Laissez un commentaire