RACINES CARRÉES
DEFINITION
Pour
tout nombre réel positif a, la racine de ce nombre est le nombre réel positif
dont le carré est égal à a.
Il est noté : Ѵa
Le symbole Ѵ est appelé radical.
Exemple :
Ѵ25= 5 car 25=5x5
Ѵ36= 6 car 36=6x6
NB : La racine carrée d’un nombre négatif n’existe pas (du moins
dans l’ensemble des réels).
PROPRIETES
-Pour tout a≥0, x2=a <=> x=Ѵa ou x=-Ѵa
Exemple : x2 = 12.
=> x = -Ѵ12
ou
x =+Ѵ12
-Pour
tout a,

Exemple :


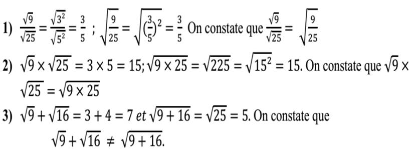
-Quelque soient les nombres a et b
positifs :
Exemple :![]()
36 ≤ 49
=> Ѵ36 ≤ Ѵ49
-
Quelque soient les nombres a et b positifs :
![]()
Exemple :
![]()
-
Quelque soient les nombres A et B positifs avec B
0:

Exemple :

OPERATIONS SUR LES RACINES
CARREES
Simplification
·
=
=
x
=2![]()
·
=
=
=20
·
.
=
=
=
=
=5
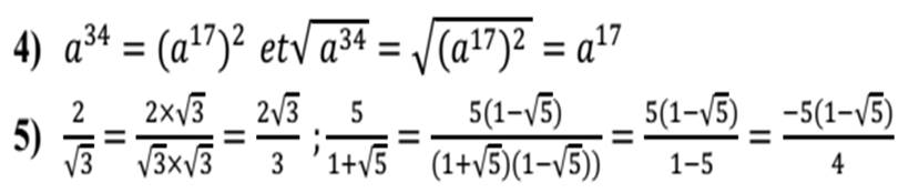
Conjugaison
Pour écrire une fraction sans radical au
dénominateur on multiplie le numérateur et
le dénominateur par l’expression conjuguée du dénominateur.
Exemples :
1.
2.
Les nombres qui peuvent s’écrire sous la forme
√a sont
des nombres irrationnels, ils peuvent avoir une partie décimale est illimitée.
EXERCICES
EXERCICE I:
a-Simplifier l’écriture des
expression suivantes :
; ![]()
b-Ecrire simplement : ![]()
c-Donner l’expression conjuguée des expressions
suivantes :

d-Calculer :
x
:
EXERCICE II
:
1.Ecrire le plus simplement
possible :
![]()
![]()
2.Calculer
et ![]()
3.Rendre le dénominateur
rationnel(conjugaison)
et 
EXERCICE III:

CORRIGES :
EXERCICE I:
a-
![]()
- 7
+![]()
=6
-7
+![]()
= 6
-7
+![]()
=
=13![]()
b-
=
x
=
2 x![]()
c-
=
x
=
=![]()
=
=
=
d-
x
=
=
:
=
=
=
=
EXERCICE II:
+
-
-![]()
=
2 +
2 -
2 -
2 = -
2
+
-
= 4
5![]()
=![]()
=
=![]()

=
- 4![]()
=
=
=![]()
=
=
= - 
EXERCICE III :

