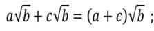
Exemples : √2; √7; √27; 𝜋
L’ensemble ℝ des
nombres réels est l’ensemble constitué des nombres rationnels et des nombres
irrationnels.
Remarque : ℕ ⊂ ℤ ⊂ 𝔻 ⊂ ℚ ⊂ ℝ


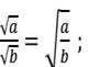
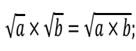
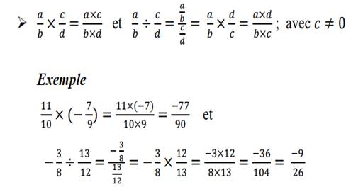
Propriété: Pour tout réels a, b, c et d avec b et d différents de zéro
![]()
Dans une suite d’opérations, l’ordre de priorité est le suivant :
- Les parenthèses : elles indiquent les calculs à effectuer en premier. On
commence les calculs par ceux qui sont dans les parenthèses les plus
intérieures.
-Les
puissances.
-La multiplication et la division.
-L’addition et la soustraction.
v Soient a et b deux nombres réels, m et n deux
nombres entiers. On a : 𝑎0 = 1 𝑎𝑣𝑒𝑐 𝑎 ≠ 0;
· 𝑎𝑛 = 𝑎 × 𝑎 × 𝑎 × … × 𝑎 (𝑛 𝑓𝑎𝑐𝑡𝑒𝑢𝑟𝑠);
·
𝑎-𝑛 =
. ( ≠
0).
· 𝑎𝑛 × 𝑎𝑚 = 𝑎 𝑛+𝑚;
· (𝑎𝑛)𝑚 = 𝑎 𝑛×𝑚 ;
· (𝑎 × 𝑏)𝑛 = 𝑎𝑛 × 𝑏𝑛
· (-a)n=an si n est pair ou –an si n est impair
· (
)n =![]()
Soit a un nombre réel quelconque, le plus grand des deux nombres réels –a et +a est appelé valeur absolue de a.
On note : │a│
On lit:«valeur absolue de a»
Exemples: │-7│=+7et │+7│=+7
│Ѵ7. - 2│ =Ѵ7 -2
et │2-Ѵ7│=Ѵ7-2
· │a│![]()
· │a│=0 <=> a=0
· │a│=│-a│
· │a│= -a si a<0. ou a si a>0
· │a│=│b│ <=> a=b ou a=-b
· │axb│=│a│x│b│
· Si b est #0, │
│=
· Si b est #0, │
│=![]()
· │a+b│
│a│+│a│
· │a│
-r
a
+r
Un intervalle est un ensemble de tous les nombres réels compris entre deux valeurs a et b appelées bornes de l’intervalle.
a et b pouvant être moins l’infini (←) ou plus infini (→)
Un intervalle s’écrit entre deux crochets.
Exemples:
· Intervalle ouverte:]a,b[
<= > a < x < b
· Intervalle
fermée:[a,b]
<= > a≤
x < b
· Intervalle semi-ouverteou semi-fermée:
]a,b] < = > a <
x ≤b
[a,b[ <= > a ≤ x < b
L’amplitude de l’intervalle est:
![]()
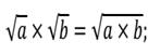
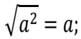
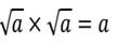
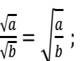
v Soient a et b deux nombres réels strictement positif. On a:
Ø
Ø 
Ø ![]()
Ø ![]()
Ø ![]()
Ø 
Remarque
:
généralement, pour tous nombres réels positifs 𝑎 𝑒𝑡 b ,![]()
![]()


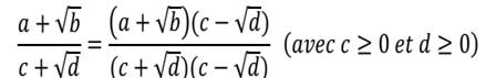
Soient x et y deux réels et l un réel positif,
y est la valeur approchée de x à l près signifie que la valeur │x-y│≤ l
On note: x ~ y à l près.
Le nombre l’ est appelé incertitude de cette valeur approchée.
Exemple: Faisons un
encadrement de
à 10-3
près
On sait que: 1,166≤7/6≤,166
1,166 est la valeur approchée de
7/6 par défaut
a 10-3
près
1,167 est la valeur approchée de 7/6 par excès a 10-3 près
Remarque:
La connaissance d’un encadrement de x permet de calculer sa valeur approchée.
Si x est compris entre a et b (a ≤ x ≤b) alors (b+a)/2 est la valeur approchée de x à (b-a)/2 près.
Exemple: Calculer la valeur approchée de 7/6 à 10-4 près sachant que 1,166≤x ≤1,167 à 10-3 près
Va =(1,166+1,167)/2 =1,1665 à (1,167-1,166)/2 = 0,0005 = 5.10-4 près.
1,1665 est la valeur approchée de 7/6 à 10-4 près
Un nombre réel A est exprimé en notation scientifique lorsqu’il peut s’écrire sous la forme A=a.10p
avec (a ϵ R et p ε Z) et 1≤│a│≤10
Exemple: 0,0005=5.10-4
Remarque:
Lorsqu’on
déplace la virgule vers la gauche l’exposant augmente: 9,3.10-5=0,93.10-4=0,093.10-3…
Lorsqu’on déplace la virgule vers la droite l’exposant diminue :
0,093.10-3=0,93.10-4=9,3.10-5….
EXERCICE I:

EXERCICE II:

EXERCICE III:
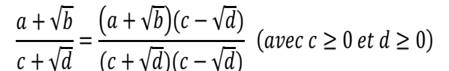
1. Ecrire sous la forme a+![]()
R = (Ѵ3+Ѵ2)2 - (Ѵ3-Ѵ2)2
S = 
2. On
pose A =
+![]()
Calculer A2
EXERCICE IV:
1. Calculer pour a=-3;
b=10 et c=4 le nombre 
2. On pose: a=![]()
b=![]()
Calculer ab-1
EXERCICE V:
On donne:
A=
-
. (a # 0 et a#-1)
B=
C=
1-Ecrire A sous forme de quotient
2-Simplifier B et l’écrire sous forme de fraction irréductible
3-Donner l’écriture scientifique de C
4-Sachant que 2,645 ≤Ѵ7≤ 2,646
Donner un encadrement à 10-4 près de (4-Ѵ7)/7
EXERCICE VI:
1.Ecrire sous forme d’intervalle
a) -5 ≤ x <7
b) 4≤x≤18
c) 3<x≤8
d) -12≤x<15
e) x>1
f) x< -33
2. Ecrire sous forme d’inégalité
a) x ∈[-2,1]
b) x ∈ ]4,8]
c) x
d) x ∈ [-6,1[
e) x ∈ [-6,→[
f) x ∈ ]←,1]
EXERCICE VII

EXERCICE VIII:
1-Soit 3,144 ≤ x ≤ 3,145, Donner la valeur approchée de x à 10-3 près.
2-Traduire par un encadrement chacun des informations suivantes:
a) 0,818 est une valeur approchée de 9/11 à 10-3 près.
b) 2,351 est une valeur approchée de A à 2.10-4 près
3-Exprimer en notation scientifique:
a). 16000x350
b). 
Merci de votre visite
Laissez un commentaire