CORRIGES
EXERCICE I
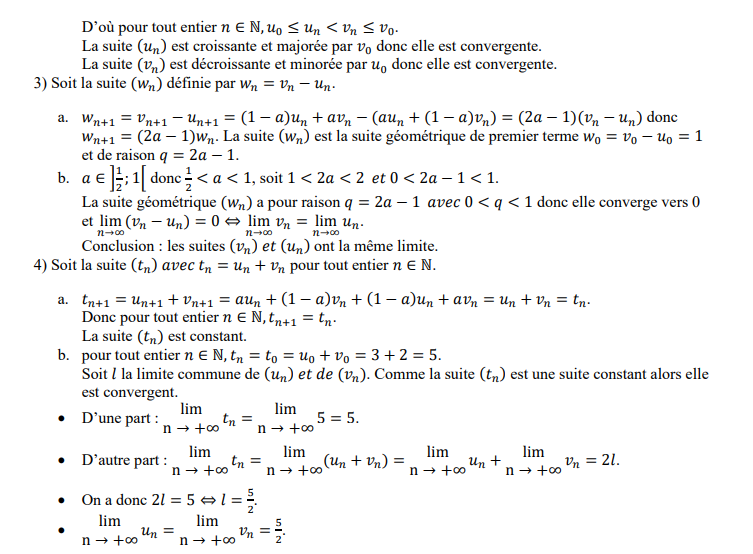
1.
U3=u0+3r
S4=(n+1)(u0+u4)/2=5(2u0 +4r)/2
![]()
2.


EXERCICE II
1.vn+1=un+1 -1=1/5un +4/5 -1=1/5vn=>suite géométrique de raison q=1/5
v0=u0-1=6-1=5
2.vn=v0qn=5(1/5)n
3.vn=un-1=>un=5(1/5)n+1
![]()
![]()
EXERCICE III
1. u1=u0+1 =2u0-3=2x1-3=-1
u2=-5
u3=-13
2.vn+1=un+1 -3=2un -3 -3=2un-6=2(un-3)=2vn
v0=u0-3=1-3=-2
q=2
3.vn=v0qn=(-2)(2)n=-2n+1
4.Sn=v0
![]()
EXERCICE IV :
a1=200 000 – (3/100) 200 000= 194 000
b1=150 000 + (5/100) 150 000= 157 500.
an+1= an – (3/100) an = (97/100) an = 0,97 an, et de même bn+1 = 1,05 bn .
On en déduit que an = a0 (0,97)n et bn = b0 (1,05)n .
Cela aura lieu lorsque 0,97n 200 000 = 1,05n 150 000, soit (1,05/0,97)n = 20 / 15, ou (105 / 97)n = 4/3.
Passons en logarithmes : n (ln 105 – ln 97) = ln 4 – ln 3, d’où ln 4 ln 3 ln105 ln 97 => n = 3,63. La population de B dépassera celle de A au cours de la troisième année, c’est-à-dire pendant l’année 2008+3 = 2011.
4. Appelons u0 la population actuelle, et un sa valeur au bout de n années. En un an, elle augmente de 30% = 30/100= 0,3. Cela signifie que un+1= un + 0,3 un = 1,3 un. On obtient une suite géométrique de terme initial u0 et de raison 1,3. D’où la forme explicite un=1,3n 106 . On veut trouver n tel que un=100. 106 , c’est-à-dire 1,3n =100, ou encore n ln1,3 = ln 100, n = ln100 / ln1,3, n = 17,6 années.
EXERCICE V :
