CORRIGES
EXERCICE I:
1.
![]()
![]()
0
=>![]()
2.Soit la suite numérique (un) telle que:

Montrons par récurrence que pour tout n, 0<un<1.
Initialisation: ![]()
La propriété est vraie au rang 0, il y a donc initialisation.
hérédité: Supposons la propriété vraie au rang p c.-à-d
Montrons qu’alors, la propriété est vraie au rang p+1 c.-à-d. ![]()
![]()
![]()
![]()



Conclusion: Il y a initialisation et hérédité par récurrence, la propriété est vraie pour tout n.
3.Montrons par récurrence que pour tout n, un= (-4)n+1 +1
Initialisation: ![]()
La propriété est vraie au rang 0, il y a donc initialisation.
hérédité: Supposons la propriété vraie au rang p
c.-à-d ![]()
Montrons qu’alors, la propriété est vraie au rang p+1 c.-à-d. ![]()
Il y a
hérédité
Conclusion: Il y a initialisation et hérédité par récurrence, la propriété est vraie pour tout n.
EXERCICE II:
La suite (un) est décroissante et minorée par 0;donc elle converge.
On a: ![]()
La fonction f est continue sur [0,1] et pour tout n ϵN, un ϵ [0,1]; donc la limite de la suite (un) est solution de l’équation: x ϵ [0,1], f(x)=x
ou x=2
Puisque,0
ϵ [0,1] et 2 non, donc 0 est l’unique solution de l’équation f(x)=x, par
suite,![]()
EXERCICE III:

EXERCICE IV:



EXERCICE V:

EXERCICE VI:
1.Montrons par récurrence que -1<un<0.
Initialisation:n=0 on a:-1<u0<0
Donc la proposition est vraie pour n=0.
hérédité: supposons la propriété vraie pour n c.-à-d -1<un<0
montrons qu’elle est également vraie au rang n+1 c.-à-d. -1<un+1<0.
-1<un<0 <=>1<un +2<+2
<=>1<
<![]()
<=>
<
<1
Et puisque-1<un<0 donc
<
<1
Donc
<
<0 donc
-1<un+1<0.
D’où -1<un<0
2.Montrons que un est strictement croissante.

Et puisque 
Alors 
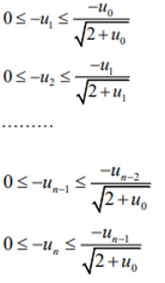
3. Montrons que 
Soit nϵN on a: un≥u0 car un est croissante donc:
c.-à-d
Donc:
Soit n ϵN on a 
Donc: 
En donnant les valeurs a n , on trouve:

Le produit des inégalités donne:
